Statistics 141 - Introduction to Statistics

LEC R1, Winter 2014, MWF 1300 - 1350, TL 12


Local announcements: (Please check here!)

- April 20, 2014 (11:00 PMish): Final exam marks now available here. Please check to make sure ALL your marks are correct.
- March 29, 2014: Office hours for after Wed, April 9 can be found here.

Instructor: Paul Cartledge
Office: CAB 409
E-mail: pdc2 at ualberta.ca
Office hours: Wed/Fri: 11 AM - 1 PM, Thu: 12:30 - 2 PM, or by appointment.

Homework (10%): ONLINE Assignments
See MyStatLab website.
The Decima Robinson Support Centre is open for drop-in Statistics help on MWF from 1200 - 1500 & TR from 1000 - 1200 in CAB 528.
The Support Centre will be closed for the term after Wednesday, April 9.
Participation/Top Hat (5%):
See Top Hat login.


Exams: All exams are closed book and a non-programmable calculator is necessary.
All tables (Z-table, t-table, Chi-squared table)
Midterm and Final Exam Formula Sheet (Midterm uses first page ONLY.)

Midterm Exam (35%):
R1: In class Friday, March 7 (50 minutes).
MIDTERM REVIEW (Covers Chapters 1-18 as taught in class.)
NOTE: A practice midterm covers MOST course material, but not ALL.
Practice Midterm 1 (an 80-minute midterm) (No omissions.)
Practice Midterm 1 Solutions (an 80-minute midterm)
Practice Midterm 2 (a 50-minute midterm) (No omissions.)
Practice Midterm 2 Solutions (a 50-minute midterm)
Midterm V1 Solutions
Midterm V2 Solutions

Final Exam (50%)
R1: Tuesday, April 15, 2:00 PM; Location: MAIN GYM (Rows 2, 4, 6, 8, 10, 12 (Seats 1-20))
University Fall 2013/Winter 2014 Final Exam Schedule
FINAL REVIEW (Covers all chapters seen below.)
NOTE: A practice final covers MOST course material, but not ALL. Be aware of different notation.
Practice Final 1 (3 hours) (Omit MC #4 and LA #3.)
Practice Final 1 Solutions
Practice Final 2 (3 hours) (Omit MC #3 and LA #3.)
Practice Final 2 Solutions


Course notes:

Course Outline

Chapters 11 - 13 (Assigned Reading)
Chapters 1 - 6
Chapters 7 - 10
- Regression example data
Chapters 14 - 15
Chapters 16 - 17
Chapter 18
Chapter 19
Chapters 20/21
Chapter 22
- Chapter 22 Example
Chapter 23
- Ch. 23 Example data
Chapters 24 - 25
- Ch. 24-25 Example data
Chapter 26
Chapter 28
- Ch. 28 Example data
- Chapter 28 Example

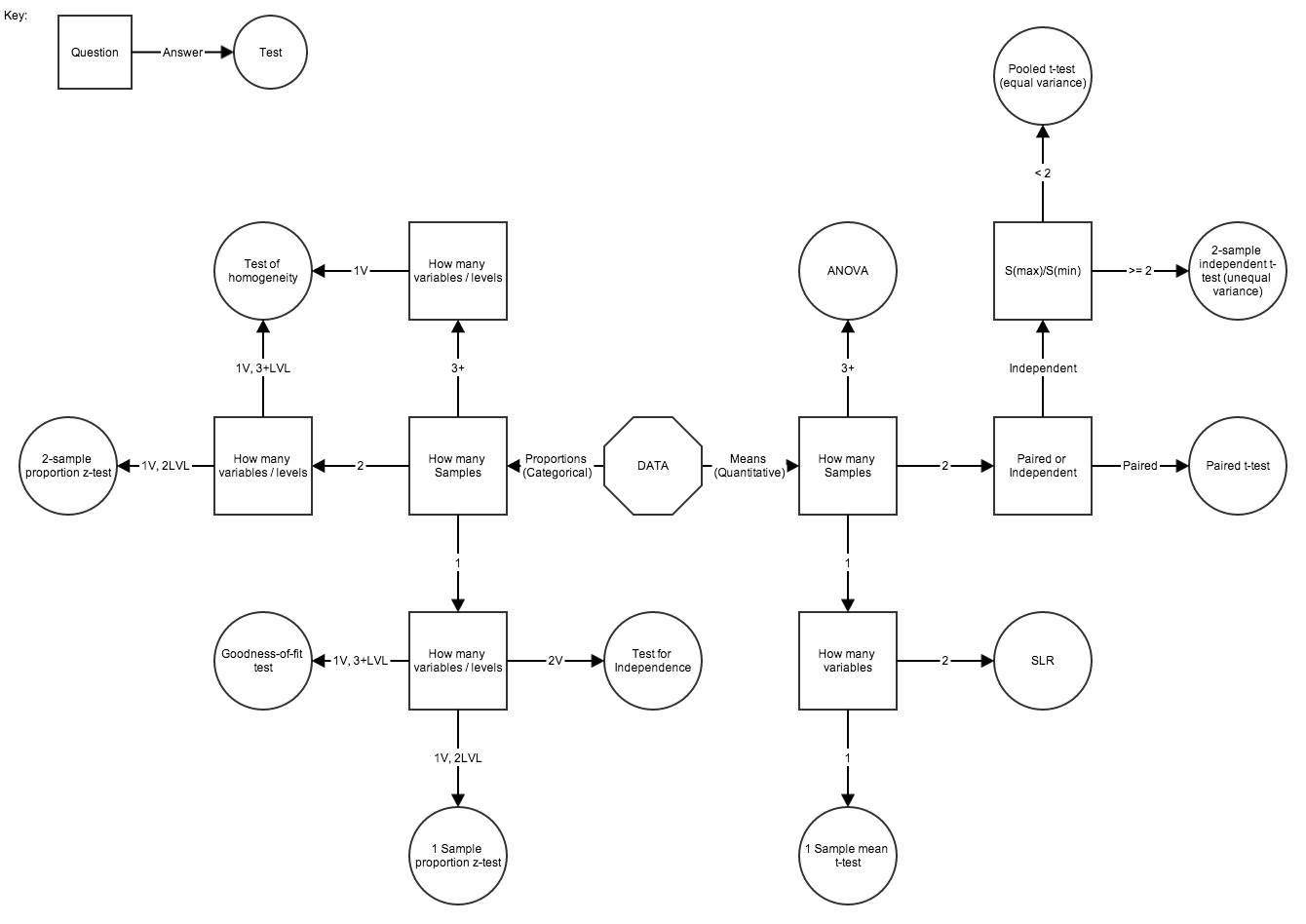
Data Structure Mind Map

Useful/Interesting Links:

U of A Bears/Pandas Website
Google
NHL.com
IMDB.com
Learning the Language of Data
Online CLT Application

Class Results
(excludes zero values)
Section R1
Evaluation type Out of Avg. (raw) Avg. (%) Max
Participation Total 33 24.3 73.5% 33
Assignment Total 1000 911.0 91.1% 1000
Midterm 32 21.7 67.8% 33
Final 60 38.4 64.0% 62