PHYS 124 - Particles and Waves
Algebra-based course for students in life, environmental, and medical
sciences. I will guide you through two distinct types of motion:
motion of matter (particles) and wave motion. Vectors, forces, bodies
in equilibrium; review of kinematics and basic dynamics, conservation
of momentum and energy, circular motion, vibrations; waves in matter,
wave optics; sound; black body radiation, photons, de Broglie waves;
models of the atom. Examples relevant in environmental, life, and
medical sciences will be emphasized.
- Solutions to Problem Set 1 (pdf):
Ch 2: #32,
#52,
#54,
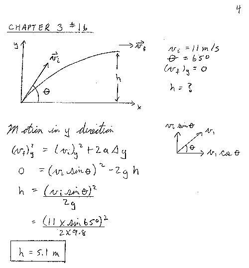
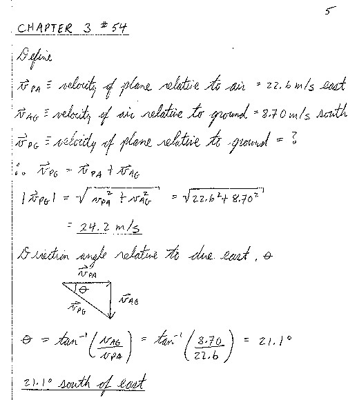
Ch 3: #16,
#54 (jpeg)
- Solutions to Problem Set 2 (pdf):
Ch 4: #8,
#12,
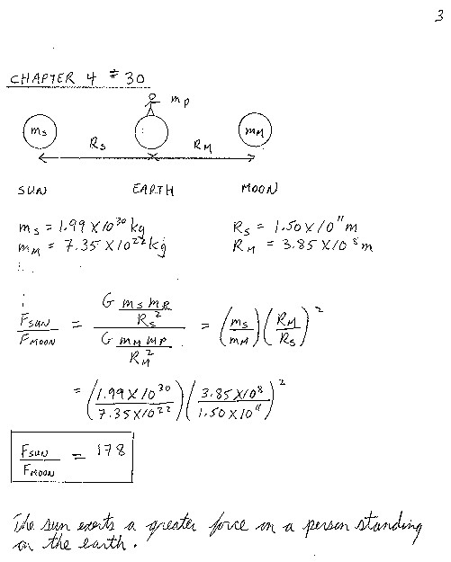
#30,
#58,
#82 (jpeg)
- Solutions to Problem Set 3 (pdf):
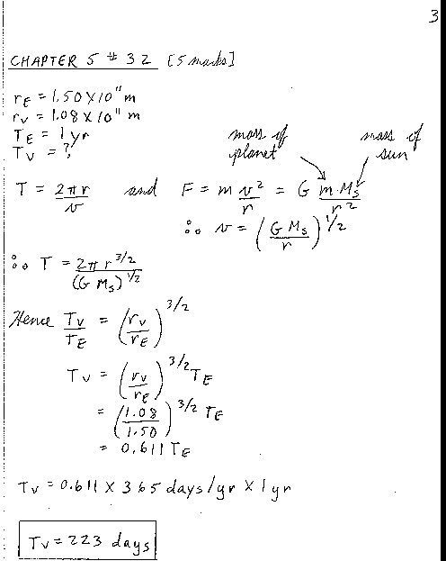
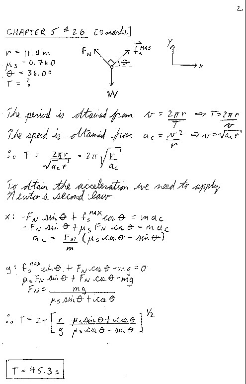
Ch 5: #10,
#26,
#32,
#40,
Ch 6: #4 (jpeg)
- Solutions to Problem Set 4 (pdf):
Ch 6: #24,
#34,
#54,
#58,
#60 (jpeg)
- Solutions to Problem Set 5 (pdf):
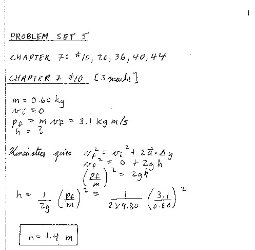
Ch 7: #10,
#20,
#36,
#40,
#44 (jpeg)
- Solutions to Problem Set 6 (pdf):
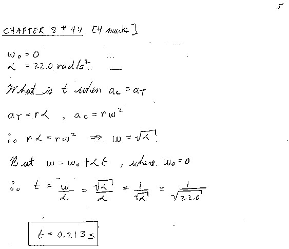
Ch 8: #12,
#26,
#28,
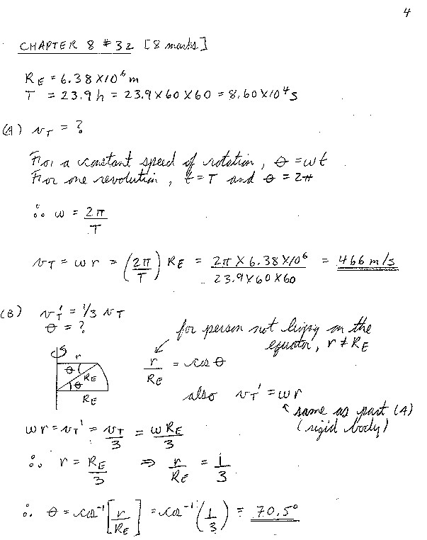
#32,
#44 (jpeg)
- Solutions to Problem Set 7 (pdf):
Ch 9: #8,
#32,
#56,
Ch 10: #10,
#36 (jpeg)
- Solutions to Problem Set 8 (pdf):
Ch 16: #16,
#40,
#60,
#78,
Ch 17: #4 (jpeg)
- Solutions to Problem Set 9 (pdf):
Ch 17: #8,
#12,
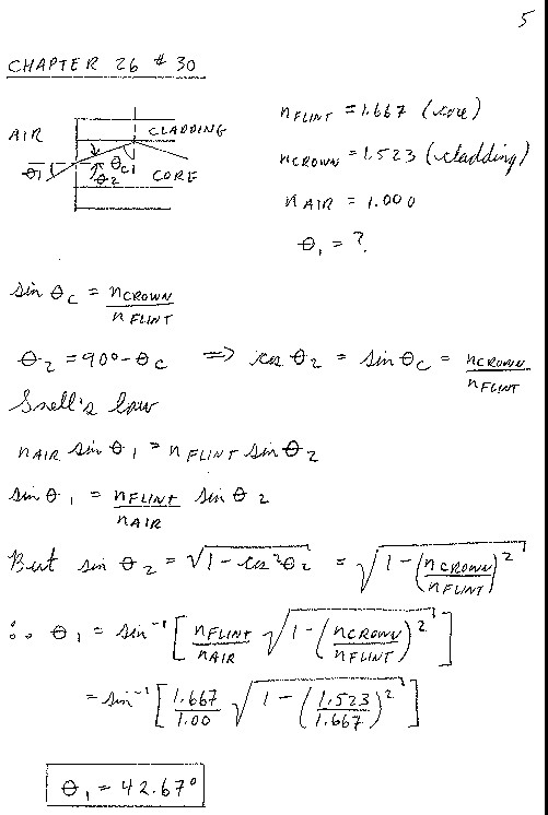
Ch 26: #8,
#20,
#30 (jpeg)
- Solutions to Problem Set 10 (pdf):
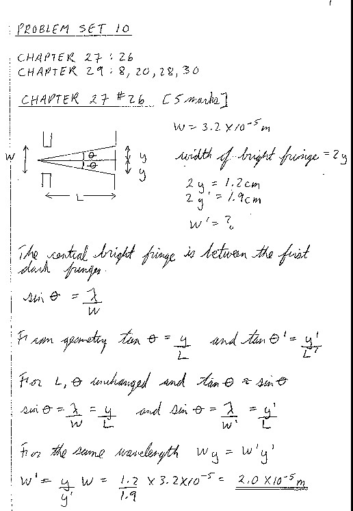
Ch 27: #26,
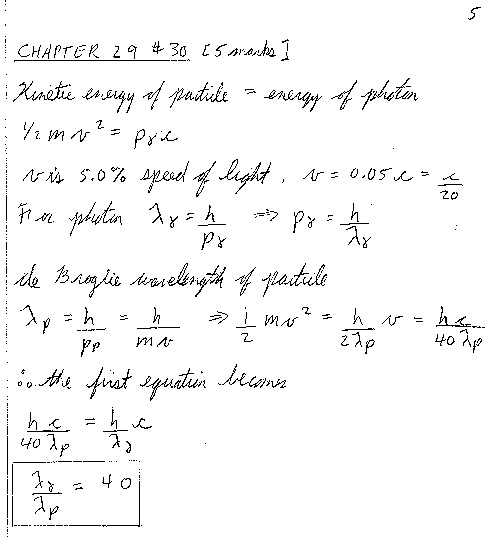
Ch 29: #8,
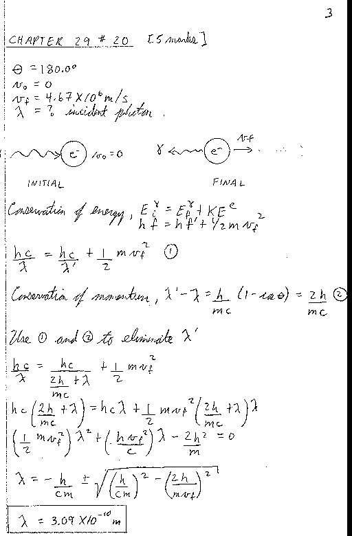
#20,
#28,
#30 (jpeg)
Douglas M. Gingrich
(gingrich@ualberta.ca)
This page last updated: