ENGM 401 Glossary of Terms

 

This glossary gives brief explanations of many terms used in the course Fundamentals of Engineering Finance, plus a few extras. It does not give definitive descriptions.

 

Click on the first letter of the term to go to that section.

 

A B C D E F G H I J K L M N O P Q R S T U V W XYZ

 

A

Accounting: Categorizing and interpreting transactions to provide the financial context for business decision making.

Accounts Payable: A Current Liability. See Payable.

Accrual: A Current Liability. See Accrued Expense.

Accrued Expense: A Current Liability. Booking an obligation of a payment that has yet to be made, such as wages owed but not yet paid.

Acid Test: A Liquidity Ratio. See Quick Ratio.

Activity Ratios: Financial ratios that measure how effectively assets are being used in the business (Inventory Turnover, Average Collection Period, Fixed Asset Turnover, Total Asset Turnover). Also called Asset Management Ratios.

All In Income: Operating Income minus expense of interest on long-term debt.

Allowances and Returns: An adjustment for wrong shipments and returned goods that for some reason can not be returned to inventory. One of the costs that is subtracted from Gross Revenue to calculate Net Revenue, along with Bad Debt and Warranty Work.

Amortization: The period of time over which a series of payments is made. Sometimes used as a synonym for Depreciation.

As Spent: Money as it was valued at the time of expenditure, as opposed to its present or future value

Asset: An item of value that is held by the business. The sum of Assets always equals the sum of Liabilities (what is owed to others) plus Equity (what owners have contributed to the business). An accounting category.

Asset Management Ratios: See Activity Ratios.

Authority: The delegated ability to do a job function and be held accountable for its responsibilities. Signing authority for expenditures is an example of authority delegated to an employee. 

Average Collection Period: An Activity Ratio. See Days Sales Outstanding.

Back to Top

B

Bad Debt: A loan or receivable that can not be collected at all or only at a steep discount. One of the costs that is subtracted from Gross Revenue to calculate Net Revenue, along with Allowances and Returns and Warranty Work.

Balance Sheet: A financial statement documenting the assets that a business has at a point in time, and where the money came to acquire those assets.

Bankruptcy: Failure of a business to raise sufficient cash to pay its expenses (including servicing its debts). 

Billable Hours: The basic unit of sales for a business that provides services, such as a consultancy or a law firm. 

Book Break Even: The point at which Operating Income becomes positive, under the assumption that interest on long-term debt is expensed before calculating Operating Income.

Bookkeeping: The process of tracking (monetary) transactions in a business

Budget: A financial document that estimates the expected expenses and revenues for an upcoming interval, usually three months or a year.

Budgeting: The process of developing a budget.

Business Plan: An projection of expected business operations, based primarily on Sales Revenue and Operating Expenses, often looking out five or ten years.

Back to Top

C

Capital Cost Allowance: Rules for claiming a tax deduction against income for depreciation purposes before the tax is deducted.

Capitalized Cost Analysis: A Present Worth Analysis in which the alternatives each have infinite analysis periods.

Cash: A liquid asset that can be spent immediately. The ability to raise cash to keep operations going is the most important short-term management function.

Cash Break Even: The point at which Cash Flow from Operations (Operating Income plus Depreciation) becomes positive. (Depending on the company, interest on long-term debt may be expensed before calculating Operating Income, or interest on long-term debt may appear as a negative entry in Other Income.) More important for small businesses, which otherwise would have to dip into reserves to keep the business going. Cash Breakeven Point can be calculated as (SG&A - depreciation) / contribution margin per unit.

Cash Flow Diagram: A graphical representation of how cash enters and leaves an organization over a period of time. Very useful for understanding how to calculate interest.

Cash Flow from Operations: Operating Income plus Depreciation, the cash generated from normal business (calculated before tax).

Contribution Margin: Net Revenue minus Cost of Goods Sold. A measure used for evaluating sales and marketing effectiveness, and for setting price of  marginal sales. Sensitive business information that should not be revealed to competitors. Also called Margin.

Constraint: A limit on a resource, e.g. the rate at which a machine can produce widgets, or the volume of a storage tank.

Corporation: A business organization that has the legal status of a person. The owners of a corporation are generally not legally responsible for its debts or actions.

Cost of Goods Sold: The expenses directly related to purchasing or producing products or services for sale. Also called Direct Costs or Marginal Costs.

Cost Plus: A type of contract where allowable costs are reimbursed and an incremental percentage is paid for overhead and profit.

Cost Tracking: Monitoring expense transactions.

Covenants: Terms and conditions that a business must meet to maintain a contract (such as a short term credit line) with a lender.

Covering the Nut: See Cash Break Even.

Credit: 1) A positive influx of money into a liability account or an equity account, but an outflow of money from an asset account. A transaction includes both a credit and a debit.  2) A type of loan.

Current Assets: Asset accounts that generally have some activity within a year: e.g., Cash, Receivables, Short Term Investments, Inventory, and Prepaid Expenses. Grouped together on the Balance Sheet.

Current Liabilities: Liability accounts that generally have some activity within a year: e.g., the Short-Term Credit Line (negative cash), Accounts Payable, Accrued Expenses, Taxes Payable, and the Current Portion of the Long-Term Debt. Grouped together on the Balance Sheet.

Current Ratio: A Liquidity Ratio, calculated as Current Assets divided by Current Liabilities.

Current Portion of Long Term Debt: A Current Liability.

Back to Top

D

Days of Sales: Money owed as Receivables divided by monthly Sales, multiplied by 30.

Days Payables: Payables (in dollars) divided by the product of Monthly Sales times (1 minus Contribution Margin) all multiplied by 30.

Days Sales Outstanding: An Activity Ratio, calculated as Receivables divided by (Annual Sales/360), which measures how well the company gets its customers to pay.

Debit: An outflow of money from a liability account or an equity account, but an influx of money to an asset account. A transaction includes both a debit and a credit.

Debt: Money legally owed to others. Long-term debt is typically secured against specific assets, so holding debt in a company is less risky than holding equity.

Debt Management Ratios: See Leverage Ratios.

Debt Ratio: A Leverage Ratio, calculated as Total Debt divided by Total Assets. Also called Total Debt to Total Assets Ratio. Sometimes Debt ratio is called debt to equity ratio, but technically Debt to Equity is Total Debt divided by (Total Assets - Total Debt).

Debt to Equity Ratio: A Leverage Ratio, calculated as Total Debt divided by (Total Assets - Total Debt). The term is often mistakenly used when Debt Ratio is actually meant.

Depreciation: A non-cash expense that recognizes that an asset such as equipment wears out over time, which can be thought of as a charge against revenue that recovers the cost of the original assets that are wearing out. There are different classes of depreciation, which depend on the type of asset.

Direct Costs: See Cost of Goods Sold.

Dividend: A one-time payment to investors as a use of funds, reported as a negative entry in the Statement of Cash Flow.

Double Entry: Tracking a transaction simultaneously as a debit in one category and a credit in another, because money comes out of one account and goes into another. One outcome of double-entry bookkeeping is maintaining balance between Assets and the sum of Liabilities plus Equity. The parts of a transaction can be all in one category or two different ones. A physical analogy is conservation of energy, in which energy can be transformed into different forms, but neither created nor destroyed. As Gertrude Stein wrote: “Money is always there but the pockets change; it is not in the same pockets after a change, and that is all there is to say about money.” Very astute for a novelist who was not an accountant.

Back to Top

E

Earnings Before Interest and Taxes: Net Income without subtracting interest charges or income taxes.

Earnings Before Interest, Taxes, and Depreciation: Net Income without subtracting interest charges, income taxes, or depreciation.

Equity: The value that owners have in a business. The sum of Share Capital plus Retained Earnings. Also called Capital, or Shareholder’s Equity. An accounting category.

Equivalence: The property of money that allows a shift of any sum to an equivalent sum at some other point in time. The premise under which investment analyses can be compared at different points of time.

Equivalent Annual Interest Rate: The actual interest rate that would be charged annually that would have the equivalent yield to multiple compounding periods during the year.

Expense: Money that leaves the business. An accounting category.

Externalities: Things outside an organization that it can use for free. If used excessively by one or many, externalities come under pressure and cause harm to society, in which case government regulation (which may include taxation) is necessary to preserve it. Highways and the atmospheric environment are examples of externalities.

Back to Top

F

Fiscal Year: The annual period in which business is conducted and reported. Many companies start their Fiscal Year at the beginning of a quarter, not necessarily January. Governments in Canada start their Fiscal Year on April Fool’s Day.

Fixed Asset: A real, physical thing that a company owns, such as a piece of equipment, a building, and land. Land does not depreciate, but almost all other assets do. Fixed assets are sometimes pledged as security for long-term debt.  Fixed assets not liquid assets, and so they are grouped together with long term investments and intangible assets on the Balance Sheet.

Fixed Asset Turnover: An Activity Ratio, calculated as Annual Sales divided by Net Fixed Assets.

Fixed Charge Coverage Ratio: A Leverage Ratio, calculated as (EBIT plus Lease Payments) divided by (Interest Charges plus Lease Payments),

Fixed Costs: Costs that do not vary with the amount of production (e.g. number of units produced). In reality, a fixed cost does have a constraint related to production. See Sales General and Administrative Expense.

Forecast: A revised budget for the remainder of the Fiscal Year.

Fundamental Equation of Accounting: Assets = Liabilities + Equity.

Future Worth: The equivalent sum at some future point in time, which depends on the interest rate.

 

Back to Top

G

Gain: Creating value in a business.

Goodwill: 1) In accounting of a Balance Sheet, an intangible asset arising when a company is purchased for more than its book value. 2) In business parlance, goodwill is the ability to exert influence on someone or within a group without having to resort to the use of an asset.

Governance: In corporate terms, the manner in which the Board (or another form of owner representation) directs a corporation, and the laws and customs applying to that direction, to align the actions of the individual parts of an organization to support corporate objectives, and in such a way that each part of the organization can trust other parts to contribute to the mutual benefit of the organization with consistency and accountability, with none gaining unfairly at the expense of others (modified from Wikipedia).

Gross Revenue: The total revenue that comes into a company in a reporting period.

Gross Sales: Sales Revenue before subtracting Bad Debt. See Gross Revenue.

Back to Top

H

Human Resources: The part of an organization that deals with developing and applying policies and procedures for fair and equitable treatment of the people in the organization.

Hurdle Rate: See Minimum Acceptable Return on Investment.

Back to Top

I

Illiquid Asset: An Asset that can not be readily converted into Cash.

Income Statement: A financial statement documenting how much income is accumulated by a business in a meaningful period of time, i.e., rate of earning.

Incremental Internal Rate of Return: The Internal Rate of Return (IRR) of the difference in incremental cash flow between two investment alternatives, hence ∆IRR is the return on the additional spending. The general rule is to choose the most expensive option if ∆IRR is above the Minimum Acceptable Rate of Return.

Indirect Expenses: See Sales General and Administrative Expenses.

Intangible Assets: Trademarks, patents, franchise fees, Goodwill, and other business items that are valued as Assets despite not being tangible objects. They may depreciate.

Intellectual Property: Legally protected information owned by a business, including (but not limited to) trademarks, patents, documented business processes, proprietary technical information, and trade secrets.

Interest: The time value of money for a debt investment, as payments at an agreed schedule from a borrower to a lender. An operating expense to the borrower (payer), reported on the Income Statement in SG&A or a negative entry in Other Income. Income to the lender. Similar to Return on Investment, which the time value of money for Equity.

Interest on Long Term Debt: A financing expense reported as a negative entry in Other Income.

Internal Rate of Return: The effective interest rate at which the Net Present Value of an investment’s cash flows (including costs) is zero. The most common criterion by which investment decisions are made. Often called Return On Investment (ROI), the return provided by the entire cost of the investment.

Inventory: Parts, Raw Material, partially completed products, and finished goods not yet sold. A Current Asset which could be sold for Cash if absolutely necessary (but probably at a steep discount).  Often measured in Days of Sales.

Inventory Turnover: An Activity Ratio, calculated as Annual Sales divided by Inventory.

Back to Top

J

Back to Top

K

Back to Top

L

Leverage Ratios: Financial ratios that measure how effectively a business is likely to repay its total debt (Debt Ratio, Times Interest Earned, Fixed Charge Coverage). Also called Debt Management Ratios.

Liabilities: Value borrowed from others to support the business. An accounting category.

Liquid Asset: Value in the business that can be converted readily into Cash, which is the most liquid asset of all.  Current Assets are more liquid than fixed assets.

Liquidity Ratios: Financial ratios that measure the likelihood that a business will remain solvent in the short term (Current Ratio, Quick or Acid Test Ratio).

Loan: Borrowing to finance a business.

Loan Repayment: A sum of money with two components: interest to the lender, and repayment of the Principal. There are different methods for Principal repayment.

Long Term Investments: Financial investment Assets such as bonds. Not commonly held by manufacturing and technology businesses.

Loss: The destruction of value in a business.

Back to Top

M

Maintenance: An operating expense associated with keeping equipment and facilities operating within performance specifications.

Management: 1) A business activity concerned with planning, financing, organizing, and operating an organization, through working with people. 2) A term for the group of employees within the company that have formal supervisory roles and responsibilities related to those activities.

Margin: See Contribution Margin.

Marginal Costs: Variable costs of an operation. See Contribution Margin.

Market Capitalization: Usually defined as the total value of a company’s stock.

Market Value Ratios: Financial ratios that measure stock price against earnings and book value of equity (Price/Earnings, Market/Book).

Market/Book Ratio: A Market Value Ratio, calculated as market price per share divided by Book value of equity per share. Market to Book value assesses the premium that a stock price has over a conservative valuation. Not derived solely from financial statements, and relates to a company’s market value.

Materiality: The allowable error in tracking transactions, which is defined by the business. Any material errors in transactions (those larger than the standard) are corrected after the reporting period by a post-period adjustment.

Minimum Acceptable Rate of Return: The lowest return that you are willing to earn on an investment. Also called Hurdle Rate.

Back to Top

N

Net Cash Flow: The measure of the short-term viability of a business. Generally defined as net income with the depreciation amount for the period added back in. Negative net cash flow is a very bad thing if it persists for more than a short time.

Net Fixed Assets: The cost of purchasing assets minus the accumulated depreciation.

Net Income: The measure of creation of value by a business in a reporting period. This course almost always refers to Net Income as Operating Income plus Other Income (before tax). Considering earnings before tax is appropriate for operations management and for valuing a company, but not for overall corporate financial management.

Net Present Value: The total present worth of a series of sums. See also Present Worth.

Net Revenue: Gross Revenue minus Bad Debt, Allowances and Returns, and Warranty Work.

Net Sales: Gross Sales minus Bad Debt.

Non-Cash Working Capital: The sum of current assets except cash minus the sum of current liabilities except the short-term credit-line and the current portion of the long-term debt.

Back to Top

O

Offset: An expenditure that can be sacrificed in order to allow for another (typically unbudgeted) expenditure.

On Budget: The happy situation when the Income Statement matches the original projection in the Business Plan.

Operating Income: Net Revenue minus COGS minus SG&A, the income a business is generating from normal activities. Calculated before tax

Other Income: Unusual or one-time cost or revenue that is not related to normal operations. In many companies Other Income also includes the expense of interest on long-term debt. By separating the cost of financing from the operating costs, the normal earning power of the business is not distorted.

Outlook: Predicted expenditures for the remainder of the fiscal year.

Over Budget: The unhappy situation when the Income Statement does not match the original projection in the Business Plan, because higher than expected costs have reduced Net Revenue below what was expected.

Overhead See Sales, General & Administrative Expense.

Back to Top

P

Partnership: A business organization in which the owners share the equity and liability directly, as well as being responsible for any debt and any legal actions against the business.

Payable: A Current Liability of money owed to a supplier, expressed in Days (Days of COGS not Days of Sales).

Payback: An estimate of how long it will take to recoup an investment. A long Payback period typically holds more risk for the investor. Payback comes in two forms: Simple (using as-spent dollars) & Discounted. Simple Payback is more commonly used.

Payroll: A business function that controls cash payments to employees in exchange for their labour.

Prepaid Expenses: A Current Asset representing the remaining fraction of an ongoing expense that was paid up front, to distribute the booking of the expense over the year.

Present Worth: The equivalent sum at the present time. Present worth analysis compares the net present value of multiple mutually exclusive options. Only future income and expenses are used; “sunk costs” in the past are considered to be irrelevant.

Price/Earnings Ratio: A Market Value Ratio, calculated as Price per Share divided by Earnings per Share, which equals Market Capitalization divided by Net Income. Not derived solely from financial statements, and relates to a company’s Market Value.

Principal: The original amount of a loan. Principal repayment is not treated as an expense to the borrower; and it does not create income for the lender.

Principle: An idea that guides behaviour. Groucho Marx once quipped: “I have Principles. And if you don’t like those, then I have other Principles.” Groucho Marx is better known as a humourist than as an ethicist.

Procurement: 1) The business function that acquires Assets. See Purchasing. 2) The stage of a project when raw material and other assets are purchased, which comes prior to construction and commissioning.

Profit: Creating value in a business.

Profit Margin on Sales Ratio: A Profitability Ratio, calculated as Operating Income divided by Annual Sales.

Profitability: The point beyond which margin exceeds SG&A (with depreciation included), and the business is creating enough value to cover depreciation and still turn a profit.

Profitability Ratios: Financial ratios that measure the profitability of the business (Profit Margin on Sales, Return on Total Assets, Return on Equity).

Public Statement: A disclosure of earnings that anyone can see, constructed so as not to reveal key business information (such as Contribution Margin).

Purchasing: Buying Inventory and other Assets for a business.

Back to Top

Q

Quarter: A three-month period.

Quick Ratio: A Liquidity Ratio, calculated as (Current Assets minus Inventories) divided by Current Liabilities. Sometimes called the Acid Test Ratio.

Back to Top

R

Raw Material: Unprocessed inventory, such as metal bar stock, chemicals, bulk plastic, etc.

Receivable: Money coming into the business from sales of goods already shipped. A Current Asset that is considered to be almost as liquid as cash. Typically measured in Days of Sales to show how long it takes to collect money from customers after the sale is booked.

Regulation: Legal limitations on how a business can be conducted.

Reliability: The ability of an asset to perform its function within specifications for a period of time. Reliability is generally consumed over time by operating an asset, and reliability is restored by doing maintenance.

Repayable Grants: A Liability related to Long Term Debt.

Reporting Period: The time interval in which financial transactions are reported, typically monthly for internal management, with quarterly and annual summaries.

Retained Earnings: Money that remains in the business (as opposed to leaving the business and going back to the owners as a Dividend), but not kept as a separate cash reserve. Incremental Retained Earnings are Net Income minus Dividends, reported annually.

Retention Strategy: Incentives intended to keep employees from seeking employment elsewhere.

Return on Equity Ratio: A Profitability Ratio, calculated as Net Income divided by Shareholder’s Equity. Crucial to the shareholder, and thus a driver of the share price.

Return On Investment: The time value of money for an Equity investment, i.e., the return provided by the entire cost of the investment. Similar to Interest, which the time value of money for a Debt investment.

Return on Total Assets Ratio: A Profitability Ratio, calculated as Operating Income divided by Total Assets.

Revenue: Money that comes into the business. An accounting category.

Back to Top

S

Sales, General & Administrative Expense: Operating expenses not directly related to production. These costs of running the business are approximately fixed, and may be referred to as Indirect Expenses or Overhead. Depreciation is included as an item in SG&A, which is recorded on the Income Statement.

Salvage Value: The residual value (what someone will pay) for an asset once it has reached the end of its Useful Life. Salvage Value may be negative if the company has to pay to get rid of the asset.

Segregation of Duties: A business control to ensure that more than one person is involved in a transaction, e.g. the person who approves a purchase is not the same person who receives it.

Share: A unit of ownership in a company. The value of a share fluctuates depending on the number of shares and the amount of shareholder equity that a company has.

Share Capital: Shareholder direct investment in a business.

Share Price: The value of a Share on the market.

Shareholder: An investor in a business who has equity rather than debt.

Shareholder’s Equity: Share capital plus Retained Earnings. Also called Equity or Capital.

Short Term Credit Line: A Current Liability. A loan that can be called by the lender at any time. Usually unsecured, but often with conditions with respect to working capital or other operating metrics.

Short Term Investment: A Current Asset that can be borrowed against to raise cash.

Stakeholder: A person or organization in society that is affected by an organization.

Statement of Cash Flow: A financial statement documenting all the flows of funds into and out of a company. Used to predict the position of the short-term credit line to ensure that no cash crisis occurs.

Statement of Retained Earnings: A financial statement documenting the cumulative value that has been kept in the business as of the end of a reporting period.

Sunk Costs: Costs incurred in the past. Sunk costs are not counted for Present Worth Analysis, which only considers future cash flows.

Back to Top

T

Taxes Payable: A Current Liability, booking an obligation of a tax payment that has yet to be made. Similar in nature to an Accrued Expense.

Times Interest Earned Ratio: A Leverage Ratio, calculated as Earnings Before Interest and Taxes divided by Interest Charges.

Timing: Recognizing expenses and revenues in the same reporting period, so that management has a clear picture of whether value is being created in that period. Sometimes the end of a reporting period comes between the times of related activities. This could offset expenses and revenue so that they appear in two different reports, which would create the appearance that expenses are occurring that are not related to creating revenue. An example of timing is “postponing” expenses related to work in progress as an asset until the period in which the sale is booked as receivable revenue, at which point the value of asset in finished goods inventory is converted to COGS expense.

Total Asset Turnover: An Activity Ratio, calculated as Annual Sales divided by Total Assets.

Total Debt to Total Assets Ratio: A Leverage Ratio, calculated as Total Debt divided by Total Assets. Also called Debt Ratio.

Tragedy of the Commons: When externalities come under pressure from overuse.

Transaction: A monetary exchange with a Debit on one side and a Credit on the other.

Back to Top

U

Unclaimed Capital Cost Allowance: The residual CCA that has not yet been claimed, because of declining balance.

Useful Life: How long an asset is expected to last before it is no longer able to perform its function. Usually expressed in years.

Back to Top

V

Valuation: An assessment of the market value of a company, from one of two perspectives: what the assets are worth to purchase or replace; or what the business is worth in terms of its earning power.

Vicarious Liability: The personal legal liability that person has if they violate the law in the course of their work.

Back to Top

W

Warranty: An obligation to provide a service without charge to the customer for a predefined initial period as a condition of sale. Warranty work is one of the costs subtracted from Gross Revenue to calculate Net Revenue, along with Bad Debt and Allowances and Returns.

Weighted Average Cost of Capital:  The weighted average of the costs of sources of financing (debt and equity). Often used as the Minimum Acceptable Rate of Return for a no-risk investment. If an investment doesn’t yield at least WACC, then it will reduce the company’s performance (since the company’s current activities are already yielding WACC).

Widget: A whimsical generic term for a unit of product.

Windfall: Unexpected business revenue, reported as a gain in Other Income.

Work In Progress: Partially completed product, held as an Asset.

Working Capital: Current Assets minus Current Liabilities

Writedown: A reduction in the Book Value of an Asset, as decided by management. Entered as a loss (a negative entry) in Other Income.

Write Off: A Writedown of an asset to zero value.

Back to Top

XYZ

Back to Top

 

List of Abbreviations

 

BV: Book Value

CCA: Capital Cost Allowance

COGS: Cost of Goods Sold

∆IRR: Incremental Internal Rate of Return

EAIR:  Equivalent Annual Interest Rate

EBIT: Earnings Before Interest and Taxes

FV: Future Value

IRR: Internal Rate of Return

MARR: Minimum Acceptable Rate of Return

NPV: Net Present Value

ROI: Return On Investment

SCF: Statement of Cash Flow

SG&A: Sales, General and Administrative Expense

WACC: Weighted Average Cost of Capital

WIP: Work In Progress

UCC: Unclaimed Capital Cost Allowance

 

Back to Top

 

Interest Calculations

 

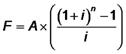
Uniform Series Compound Amount: The future amount F at the end of n periods after depositing a sum A at the end of each period with interest rate i.  In interest tables, use F = A x (F/A, i, n). The formula for direct calculation is:

.

Uniform Series Sinking Fund:  The amount A that would have to be deposited at the end of the period for n periods with interest rate i to yield the future amount F.  In interest tables, use A = F x (A/F, i, n). The formula for direct calculation is:

.

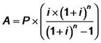
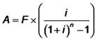
Uniform Series Capital Recovery: The size of payments A required at the end of each period to pay back a present sum P over n periods with interest rate i. In interest tables, use A = P x (A/P, i, n). The formula for direct calculation is:

.

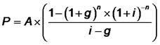
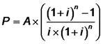
Uniform Series Present Worth: The present sum P that would be required to invest now to provide end-of-period payments of A for n periods with interest rate i. In interest tables, use P = A x (P/A, i, n). The formula for direct calculation is:

.

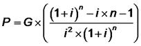
Arithmetic Gradient Present Worth: The present sum P from depositing a uniformly increasing series of sums, G, 2G, etc., for n-1 periods with interest rate i. In interest tables, use P = G x (P/G, i, n). The formula for direct calculation is:

.

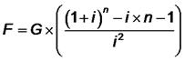
Arithmetic Gradient Future Worth: The future worth F at the end of n periods, from depositing a uniformly increasing series of sums, G at the end of the second period, 2G at the end of the third period, etc., to (n-1)G at the end of period n, with interest rate i. In interest tables, use F = G x (F/G, i, n). The formula for direct calculation is:

.

Geometric Series Present Worth: The present sum P from depositing an increasing series of sums, A at the end of period 1, (1+g) ·A at the end of period 2, etc., up to a deposit of (1+g)n-1·A at the end of period n with interest rate i. In interest tables, use P = A x (P/A, g, i, n). The formula for direct calculation is:

,  ; otherwise, ,  .

 

Back to Top

 

Summary List of Comparative Ratios

 

Liquidity Ratios: Measures of the likelihood that a business will remain solvent in the short term.

Current Ratio: Current Assets divided by Current Liabilities.

Quick Ratio or Acid Test: (Current Assets minus Inventories) divided by Current Liabilities.

 

Activity Ratios (Also Called Asset Management Ratios): Measures of how effectively assets are being used in the business.

Average Collection Period: See Days Sales Outstanding.

Days Sales Outstanding: Receivables divided by (Annual Sales/360), which measures how well the company gets its customers to pay.

Fixed Asset Turnover: Annual Sales divided by Net Fixed Assets.

Inventory Turnover: Annual Sales divided by Inventory.

Total Asset Turnover: Annual Sales divided by Total Assets.

 

Leverage Ratios (Also called Debt Management Ratios): Measures of how effectively a business is likely to repay its total debt

Debt Ratio: Total Debt divided by Total Assets. Also called Total Debt to Total Assets Ratio. Note: If someone talks about Debt Ratio or Debt-to-Equity Ratio, one should confirm their definition: sometimes Debt ratio is called debt to equity ratio, but technically Debt to Equity is Total Debt divided by (Total Assets - Total Debt).

Debt to Equity Ratio: Total Debt divided by (Total Assets - Total Debt). The term is often mistakenly used when Debt Ratio is actually meant.

Fixed Charge Coverage Ratio: (EBIT plus Lease Payments) divided by (Interest Charges plus Lease Payments),

Times Interest Earned Ratio: Earnings Before Interest and Taxes divided by Interest Charges.

Total Debt to Total Assets Ratio: Total Debt divided by Total Assets. Also called Debt Ratio.

 

Profitability Ratios: Measures of the profitability of the business.

Profit Margin on Sales Ratio: A Profitability Ratio, calculated as Operating Income divided by Annual Sales.

Return on Equity Ratio: A Profitability Ratio, calculated as Net Income divided by Shareholder’s Equity (which is Capital Shares plus Retained Earnings). Crucial to the shareholder, and thus a driver of the Share Price.

Return on Total Assets Ratio: A Profitability Ratio, calculated as Operating Income divided by Total Assets.

 

Market Value Ratios: Measures of stock price against earnings and book value of equity

Market/Book Ratio: Market price per share divided by Book value of Equity per Share. Market to Book value assesses the premium that a stock price has over a conservative valuation. Not derived solely from financial statements, and relates to a company’s market value.

Price/Earnings Ratio: Price per Share divided by Earnings per Share, which equals Market Capitalization divided by Net Income. Not derived solely from financial statements, and relates to a company’s market value.

 

Back to Top

 

© MG Lipsett 2007