Lecture 32: Two-source interference of light


Readings: Textbook pages 1208-1218

Main Law of wave interference from two coherent sources

  • The difference in paths from two coherent sources to a point in space leads to phase difference Δ φ of two waves at this point
    (r2 - r1) / λ = Δ φ / (2 π )
  • Phase difference depends on path length difference and the wavelength of the wave
  • Depending on the phase difference two waves are added constructively or destructively
    • Δ φ = 2 π m -- interference is maximally constructive , two waves have added their amplitudes at the point
    • Δ φ = 2 π ( m + ½ ) -- interference is maximaly destructive the amplitude of the total of two waves at the point is the difference of the amplitudes of individual waves
    • If the phase difference is not integer of half-integer part of 2 π , the interference is partial
    • If the amplitudes of two coherent waves are the same, at the points of constructive intereference the amplitude doubles, while at the points of complete destructive intereference it is exactly zero, the wave perturbation vanishes
  • The places of maximally constructive interference are called antinodal places
  • The places of maximally desctructive intereference are called nodal places
  • In terms of the paths lengths difference, the condition for maximally constructive intereference is
    r2 - r1 = m λ
    i.e path lengths difference is interger number of wavelengths
  • In terms of the paths lengths difference, the condition for maximally destructive intereference is
    r2 - r1 = ( m + ½ ) λ
    i.e path lengths difference is half-interger number of wavelengths

Nodal/Antinodal Lines for 2D spherical (or 3D cyllindrical) waves

  • The intereference pattern depends on the wavelength of the wave λ and the distance between the sources D
  • The paths difference far away from the sources is approximately
    r2 - r1 = D sin θ
  • Hence, far from the sources, R >> D , the places of constructive interference are lines (called antinodal lines ) in the directions of constant angles to source separation that satisfy
    D sin θm =m λ
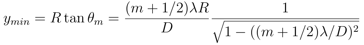
  • Correspondingly, the places of destructive interference are lines (called nodal lines ) in the directions of constant angles that satisfy
    D sin θm = ( m + ½) λ
  • How many antinodal lines this pattern creates ? This depends on the wavelength of the wave λ and the distance between the sources D
  • It is easy to find out: The maximum paths separation possible is along the line that connects the sources, and is equal
    ( r2 - r1 )max = D
    Hence, the maximum possible m that can be at antinodes is
    mmax = int(D/λ)
    (int() means take the integer part of the result). So we will have nodes at
    m = 0,± 1, ..., ± mmax
This applet is courtesy of this site

Interference of light, two-slit experiment of Young

  • Light intereference is difficult to create and observe (relative to say, sound waves)
  • How to make two source coherent, when it is different atoms that emit light parcels at each source ? Wavelength is not an issue, but phase coherence ?
  • Light wave in the medium can't be observed directly from the top as we observer say waves in the pool
  • Brilliant idea of Thomas Young - create two coherent sources by splitting light wave from a single source. Observe by placing the screen relatively far away from the source.
  • How to split the light beam ? Two holes ! Better - two narrow but long slits (double slit experiment), that will create cyllindrical, rather than spherical, wave.
  • The pattern on the screen is the succession of bright and dark bands -- interference fringes
  • The positions of maximum intensity on the screen is where the antinodal lines intersect it
  • The positions of minimum intensity on the screen is where the nodal lines intersect it
  • For m λ/D << 1 , i.e rather wide slit which produces many interference fringes, and among them for rather central fringes we can approximate
  • Interference fringes can be used to determine the wavelength of the light. Typical experimental setup - D ∼ 1 mm, λ ∼ 600 nm, R ∼ 2 m will give fringe pattern with separation between succesive maxima ∼ 1 mm which can be easily measured. Conversely,
    λ ≈ (ymax D)/(m R)
    The approximation assumes m λ << D << R

Intensity of the interference fringes in double slit experiments