next up previous contents index
Next: Projection Operators of Energy Up: Projection Operators for Energy Previous: Energy Projection Operators

Spin Projection Operators

We go to the rest frame and try to find a projection operator in a covariant form. A candidate for a spin-up particle is $\frac{1+\sigma_z}{2}$, where $\sigma_z$ is the third Pauli-spin matrix. Removing the explicit $z$ dependence we can write


\begin{displaymath}
\frac{1+\sigma\cdot\hat{u}}{2},
\end{displaymath} (5.212)

where $\hat{u}$ is a unit 3-vector. Extending the operator to 4-dimensions in the rest frame we have


\begin{displaymath}
\frac{1+\Sigma_3u_3}{2} = \frac{1+i\gamma_1\gamma_2u_3}{2} =...
...}{2} \rightarrow
\frac{1+\gamma_5\not{\;\!\!\!u}\gamma_0}{2} .
\end{displaymath} (5.213)

Because we are in the rest frame $\gamma_0$ acting upon the Dirac spinor becomes $\pm 1$ and we can deal with this overall sign later. The covariant Dirac spin projection operator has the form


\begin{displaymath}
\Sigma(u_3) = \frac{1+\gamma_5\not{\;\!\!\!u}_3}{2}.
\end{displaymath} (5.214)

Notice that $\Sigma(u_3)\ne\Sigma_3$ and that they are different operators. For a general spin vector $s^\mu$ we have


\begin{displaymath}
\fbox{$\displaystyle
\Sigma(s) = \frac{1+\gamma_5\not{\;\!\!\!s}}{2}
$}\ .
\end{displaymath} (5.215)

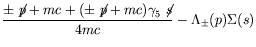
In the reset frame


$\displaystyle \Sigma( u_3)\omega^1(0)$ $\textstyle =$ $\displaystyle \frac{1+\gamma_5\gamma_3}{2} \omega^1(0)
= \frac{1+\Sigma_3}{2} \omega^1(0) = \omega^1(0) ,$ (5.216)
$\displaystyle \Sigma(-u_3)\omega^2(0)$ $\textstyle =$ $\displaystyle \frac{1-\gamma_5\gamma_3}{2} \omega^2(0)
= \frac{1-\Sigma_3}{2} \omega^2(0) = \omega^2(0) ,$ (5.217)
$\displaystyle \Sigma(-u_3)\omega^3(0)$ $\textstyle =$ $\displaystyle \frac{1-\gamma_5\gamma_3}{2} \omega^3(0)
= \frac{1-\Sigma_3}{2} \omega^3(0) = \omega^3(0) ,$ (5.218)
$\displaystyle \Sigma( u_3)\omega^4(0)$ $\textstyle =$ $\displaystyle \frac{1+\gamma_5\gamma_3}{2} \omega^4(0)
= \frac{1+\Sigma_3}{2} \omega^4(0) = \omega^4(0) .$ (5.219)

The physical motivation for this apparent backward association of the eigenvalues for the negative-energy solution will appear when we come to the hole theory.

Using the definitions (5.206) we can write


$\displaystyle \Sigma( u_z)u(p,u_z)$ $\textstyle =$ $\displaystyle u(p,u_z) ,$  
$\displaystyle \Sigma( u_z)v(p,u_z)$ $\textstyle =$ $\displaystyle v(p,u_z) ,$  
$\displaystyle \Sigma(-u_z)u(p,u_z)$ $\textstyle =$ $\displaystyle \Sigma(-u_z)v(p,u_z) = 0 .$ (5.220)

Because of the covariant form of the projection operator, we may write for any polarization vector $s^\mu$


$\displaystyle \Sigma(s)u(p,s)$ $\textstyle =$ $\displaystyle u(p,s) ,$  
$\displaystyle \Sigma(s)v(p,s)$ $\textstyle =$ $\displaystyle v(p,s) ,$  
$\displaystyle \Sigma(-s)u(p,s)$ $\textstyle =$ $\displaystyle \Sigma(-s)v(p,s) = 0 .$ (5.221)

We now show that the spin projection operators have the projection operator properties:


\begin{displaymath}
\Sigma(\pm s)\Sigma(\pm s) = \frac{1\pm\gamma_5\not{\;\!\!\!...
...pm 2\gamma_5\not{\;\!\!\!s}-\gamma_5^2
s^2}{4} = \Sigma(\pm s)
\end{displaymath} (5.222)

and


\begin{displaymath}
\Sigma(\pm s)\Sigma(\mp s) = \frac{1\pm\gamma_5\not{\;\!\!\!...
...p\gamma_5\not{\;\!\!\!s}}{2} = \frac{1+\gamma_5^2 s^2}{4}
= 0
\end{displaymath} (5.223)

also


\begin{displaymath}
\Sigma(\pm s) + \Sigma(\mp s) = \frac{1\pm\gamma_5\not{\;\!\!\!s}}{2} +
\frac{1\mp\gamma_5\not{\;\!\!\!s}}{2} = 1.
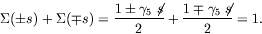
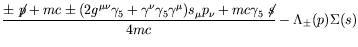
\end{displaymath} (5.224)

The energy and spin projection operators commute:


$\displaystyle [\Sigma(s),\Lambda_{\pm}(p)]$ $\textstyle =$ $\displaystyle \frac{1+\gamma_5\not{\;\!\!\!s}}{2}
\frac{\pm\not{\;\!\!\!p}+mc}{2mc} - \Lambda_{\pm}(p)\Sigma(s)$  
  $\textstyle =$ $\displaystyle \frac{\pm\not{\;\!\!\!p}+mc\pm\gamma_5\gamma^\mu\gamma^\nu s_\mu p_\nu +
mc\gamma_5\not{\;\!\!\!s}}{4mc} - \Lambda_{\pm}(p)\Sigma(s)$  
  $\textstyle =$ $\displaystyle \frac{\pm\not{\;\!\!\!p}+mc\pm\gamma_5(2g^{\mu\nu}-\gamma^\nu\gamma^\mu)
s_\mu p_\nu + mc\gamma_5\not{\;\!\!\!s}}{4mc} - \Lambda_{\pm}(p)\Sigma(s)$  
  $\textstyle =$ $\displaystyle \frac{\pm\not{\;\!\!\!p}+mc\pm(2g^{\mu\nu}\gamma_5 +
\gamma^\nu\g...
...^\mu) s_\mu p_\nu + mc\gamma_5\not{\;\!\!\!s}}{4mc} -
\Lambda_{\pm}(p)\Sigma(s)$  
  $\textstyle =$ $\displaystyle \frac{\pm\not{\;\!\!\!p}+mc\pm(2\gamma_5 s\cdot p +
\not{\;\!\!\!...
...5\not{\;\!\!\!s}) + mc\gamma_5\not{\;\!\!\!s}}{4mc} -
\Lambda_{\pm}(p)\Sigma(s)$  
  $\textstyle =$ $\displaystyle \frac{\pm\not{\;\!\!\!p}+mc + (\pm\not{\;\!\!\!p}+ mc) \gamma_5\not{\;\!\!\!s}}{4mc} -
\Lambda_{\pm}(p)\Sigma(s)$  
  $\textstyle =$ $\displaystyle 0 .$ (5.225)


next up previous contents index
Next: Projection Operators of Energy Up: Projection Operators for Energy Previous: Energy Projection Operators
Douglas M. Gingrich (gingrich@ ualberta.ca)
2004-03-18