J Pharm Pharmaceut Sci (www.cspscanada.org) 9(1):10-21, 2006
Effects of water deprivation on the pharmacokinetics of DA-8159, a new erectogenic, in rats
Ji Young Kim1, Yu Chul Kim1, Myung Gull Lee1, Jong Won Kwon2, Moohi Yoo2
1College of Pharmacy and Research
Institute of Pharmaceutical Sciences,
2Research Laboratory,
Dong-A
Pharmaceutical Company, Ltd.,
Received July 26, 2005; Revised September 19, 2005; Accepted October 26, 2005; Published December 21, 2005
Corresponding
Author:
Myung G. Lee,
ABSTRACT. Purpose: To test the effect of 72 h water deprivation on the non-renal clearance (CL) of DA-8159 in a rat model of dehydration. DA-8159 is mainly metabolized via CYP3A1/2 and the expression and mRNA level of CYP3A1/2 are not affected by dehydration. Methods: DA-8159 (30 mg/kg) was administered intravenously or orally to male control Sprague–Dawley rats and rat model of dehydration. Results: As expected, after intravenous administration, the CLNR values of DA-8159 were comparable between two groups of rats. This could be supported by comparable intrinsic CL of DA-8159 using hepatic microsomes for both groups of rats. However, the CL was significantly slower in rat model of dehydration due, at least in part, to significantly slower renal CL in rat model of dehydration. The slower CLR in rat model of dehydration could be due to urine flow rate-dependent renal CL of DA-8159; the less urine output, the less the urinary excretion of unchanged DA-8159. After oral administration, the AUC values of DA-8159 were not significantly different between two groups of rats, although the AUC of DA-8159 in rat model of dehydration was significantly greater than controls after intravenous administration. This could be possibly due to changes in the intestinal first-pass effects in rat model of dehydration. Conclusions: After intravenous administration of DA-8159, the non-renal CL values were comparable between two groups of rats due to the lack of effect of dehydration on CYP3A1/2.
DA-8159 (Udenafil), 5-[2-propyloxy-5-(1-methyl-2-pyrollidinylethylamidosulfonyl)phenyl]-1-methyl-3-propyl-1,6-dihydro-7H-pyrazolo(4,3-d)pyrimidine-7-one,
a new inhibitor of cyclic guanosine monophosphate (cGMP)-specific
phophodiesterase type V (PDE V), has been synthesized for the treatment of male
erectile dysfunction (Research Laboratory of Dong-A Pharmaceutical Company,
Yongin, South Korea). DA-8159 is metabolized to DA-8164 (N-dealkylated DA-8159:
5-[2-propyloxy-5-(aminosulfonyl) phenyl]-1-methyl-3-propyl-1,
6-dihydro-7H-pyrazolo (4, 3-d) pyrimidine-7-one) in mice, rats, rabbits, dogs,
and humans (1). Mechanism (2) and erectogenic effects (3, 4) of DA-8159 have
been reported. DA-8159 is a potent, selective, and competitive inhibitor of
human PDE V. In vitro experiments
using a series of PDE isozymes (PDE I, II, III, V, and VI) indicated that
DA-8159 is highly selective and potent antagonist of PDE V from human and
rabbit platelets producing IC50 values of 8.25 and 5.84 nM,
respectively (2). Oral DA-8159 is now being evaluated in phase III clinical
trial for the treatment of male erectile dysfunction in
Dehydration occurs by
excessive sweating, polyuria, severe diarrhea, and hyperthermia (6). Water
deprivation may cause significant hormonal, physiological, and biochemical
changes in the body (7–11 and references therein). For example, kidney and/or
liver functions seemed to be impaired in rat model of dehydration based on
blood and urine chemistry data and/or microscopic examinations of the kidney
and liver. Therefore, it could be expected that the pharmacokinetics and hence
pharmacodynamics of drugs could be altered in water deprivation. Since, the
first report on the effects of water deprivation on aspirin disposition
kinetics (6), water deprivation has been reported to alter the disposition
kinetics of various drugs (7–11 and references therein).
Kim et al. (12) reported that in male Sprague–Dawley rats with 72-h water deprivation (rat model of dehydration), the expressions of CYP1A2, 2B1/2, 2C11, and 3A1/2 were not changed, however, that of CYP2E1 was three-fold induced based on Western blot analysis. The mRNA level of CYP2E1 also increased in rat model of dehydration based on Northern blot analysis (12). Hence, it would be expected that the hepatic metabolism of DA-8159 would not changed in rat model of dehydration. Although the pharmacokinetic changes of many drugs in rat model of dehydration were reported (7–11 and references therein), the changes with respect to CYP isozymes seemed not to be reported except chlorzoxazone (11) and oltipraz (13). In this regard, DA-8159 was chosen in this study, since the drug is metabolized mainly via CYP3A1/2 in rats (5) and CYP3A1/2 was not changed in rat model of dehydration (12). Moreover, DA-8159 could be used in humans with dehydration state. The purpose this study is to find whether the pharmacokinetic parameters of DA-8159 are not changed after intravenous and oral administration of DA-8159 in rat model of dehydration with respect to CYP3A1/2.
DA-8159, DA-8164, and sildenafil [an internal
standard of high-performance liquid chromatographic (HPLC) analysis of DA-8159
and DA-8164] were supplied from Research Laboratory of Dong-A Pharmaceutical
Company. N,N-dimethylacetamide (DMA), b-nicotinamide
adenine dinucleotide phosphate (NADPH; as a tetrasodium salt), ethylenediamine tetraacetatic acid
(EDTA), and tri(hydroxymethyl)aminomethane
(Tris)-buffer were products from Sigma–Aldrich
Corporation (
Male Sprague–Dawley
rats (weighting 270 to 315 g) were purchased from Charles River Company
The procedures were similar to the reported methods (11). The livers of
control rats and rat model of dehydration (n
= 6; each) were homogenized (Ultra-Turrax T25; Janke and Kunkel,
IKA-Labortechnik,
On the fourth day, the carotid artery (for
blood sampling) and the jugular vein (for drug administration) of each rat were
cannulated under the light ether anesthesia (17,18). And
then, each rat was housed
individually in a rat metabolic cage (Daejong Scientific Company,
On the fourth day, the carotid artery of
each rat was cannulated under light ether anesthesia (17,18).
DA-8159 (the same solution as used in the intravenous study) at a dose of 30 mg/kg was administered
orally using a feeding tube in control rats (n = 11) and rat model of dehydration (n = 10). Blood samples were collected
at 0, 15, 30, 45, 60, 90, 120, 180, 240, 360, 480, 600, or 1440 min after oral
administration of DA-8159. Other procedures were similar to those in the intravenous
studies.
Plasma protein binding of DA-8159 to additional control rats and rat
model of dehydration (n = 5; each) was
determined at a DA-8159 plasma concentration of 5 mg/mL using an equilibrium dialysis technique (19). One
mL of fresh plasma was dialyzed against 1 mL of isotonic Sørensen phosphate
buffer (pH 7.4) containing 3% dextran, with 1 mL dialysis cell (Fisher
Scientific,
The concentrations of DA-8159 and DA-8164 in the above biological
samples were analyzed by the slight modification of the reported HPLC method (15).
To a 0.1-mL aliquot of biological sample, a 0.1-mL aliquot of 0.1
Table 1: Mean (± standard deviation) Vmax, Km,
and CLint values for the disappearance of DA-8159 and for the
formation of DA-8164 in liver microsomes of control rats and rat model of
dehydration (n = 6; each).
|
Parameter |
Disappearance of DA-8159 |
Formation of DA-8164 |
||
|
Control |
Dehydration |
Control |
Dehydration |
|
|
Vmax (nmol/min/mg
protein) |
0.293±0.129 |
0.219±0.101 |
0.0547±0.0461 |
0.0925±0.0550 |
|
Km (mM) |
18.6±8.93 |
15.8±6.09 |
61.1±56.0 |
81.0±52.1 |
|
CLint (mL/min/mg protein) |
15.8±2.26 |
13.4±2.74 |
0.966±0.167 |
1.15±0.0707 |
AUC was calculated by the trapezoidal rule–extrapolation method; this
method employs the logarithmic trapezoidal rule for the calculation of the area
during the phase of a declining level in plasma (20) and the linear trapezoidal
rule for the phase of a rising level in plasma. The area from the last datum
point to time infinity was estimated by dividing the last measured
concentration in plasma by the terminal rate constant.
Compartment and model
independent methods (21) were used to calculate the following pharmacokinetic
parameters; the time-averaged total body (CL), renal (CLR), and
nonrenal (CLNR) clearances, terminal half-life, total area under the
first moment of the plasma concentration–time curve from time zero to time
infinity (AUMC), mean residence time (MRT), apparent volume of distribution at
steady state (Vdss),
and extent of absolute oral bioavailability (F) (17). The maximum plasma
concentration (Cmax) and
time to reach a Cmax (Tmax) were read directly from
the experimental data.
The harmonic mean method was
used to calculate the mean values of Vdss
(22), terminal half-life (23), and clearance values (24).
A p < 0.05 was considered to be statistically significant using the t-test between the two means for the unpaired data. All data are expressed as mean ± standard deviation.
Vmax, Km, and CLint for
the disappearance of DA-8159 were comparable between control rats and rat model of dehydration (Table 1), suggesting that the maximum
velocity for the disappearance (mainly due to metabolism) of DA-8159, affinity
of DA-8159 to the enzyme(s), and disappearance of DA-8159 were not affected considerably
by dehydration. Similar trends were also obtained for the formation of DA-8164
(Table 1). Protein contents were comparable between control rats and rat
model of dehydration (18.7 ± 1.50 and 19.5 ± 2.00 mg/g liver).
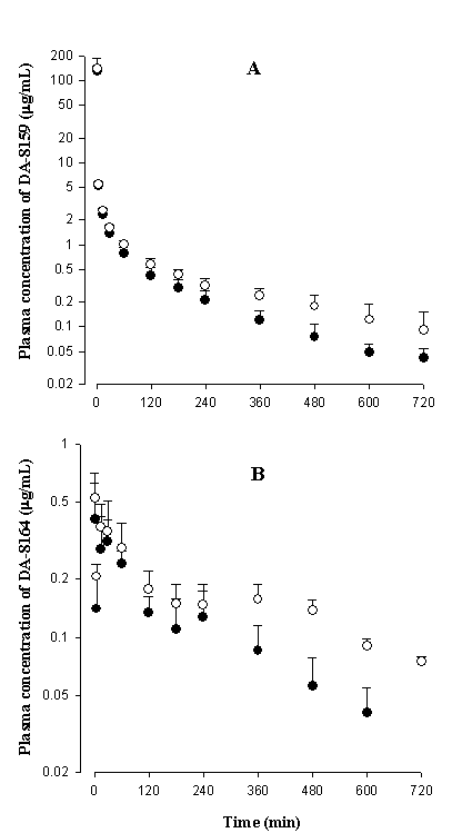
After intravenous administration of DA-8159
at a dose of 30 mg/kg in control rats and rat model of dehydration, the mean
arterial plasma concentration–time profiles of DA-8159 and DA-8164 are shown in
Figures 1A and 1B, respectively, and some relevant pharmacokinetic parameters
are listed in
Table 2. After intravenous administration of DA-8159 in rat model
of dehydration, the changes in pharmacokinetic parameters of DA-8159 are as
follows; the AUC was significantly greater (33.9% increase), MRT was
significantly longer (95.0% increase), Vdss was significantly larger
(32.7% increase), CL (18.6% decrease) and CLR (62.3% decrease) were
significantly slower, and percentages of intravenous dose of DA-8159 excreted
in 24-h urine (Ae0-24 h, DA-8159) and recovered from the entire gastrointestinal tract
at 24 h (GI24
h, DA-8159) as unchanged drug were significantly smaller (37.1% decrease)
and greater (105% increase), respectively, than controls. After intravenous
administration of DA-8159 in rat model of dehydration, the changes in
pharmacokinetic parameter of DA-8164 are as follows; the AUC was significantly
greater (108% increase), CLR was significantly slower (80.7%
decrease), and Ae0-24 h, DA-8164 and GI24 h, DA-8164 were significantly
smaller (75.2% decrease) and greater (313% increase), respectively, than controls.
After intravenous administration
of DA-8164 at a dose of 10 mg/kg in control rats and rat model of
dehydration, the mean arterial plasma
concentration–time profiles of DA-8164 are shown in
Figure 2, and some relevant
pharmacokinetic parameters are listed in
Table 3.

Figure 1: Mean arterial plasma concentration–time profiles of DA-8159 (A) and DA-8164 (B) after 1-min intravenous infusion of DA-8159 at a dose of 30 mg/kg to control rats (●; n = 9) and rat model of dehydration (○; n = 10). Bars represent standard deviation.
Table 2: Mean (± standard deviatition) pharmacokinetic parameters of DA-8159 and DA-8164 after intravenous administration of DA-8159 at a dose of 30 mg/kg to control rats and rat model of dehydration.
|
Parameter |
Control
(n = 9) |
Dehydration
(n = 10) |
|||||
|
Body weight (g) |
|
|
|
|
|
|
|
|
Initial |
303 |
± |
28.9 |
310 |
± |
28.7 |
|
|
Final |
320 |
± |
14.6 |
253 |
± |
24.2a |
|
|
Hematocrit (%) |
50.6 |
± |
6.62 |
64.4 |
± |
5.74a |
|
|
Urine output (mL/24-h) |
24.9 |
± |
6.90 |
1.71 |
± |
0.756a |
|
|
DA-8159 |
|
|
|
|
|
|
|
|
AUC (mg * min/mL) |
436 |
± |
45.7 |
584 |
± |
120b |
|
|
Terminal half-life (min) |
177 |
± |
68.7 |
187 |
± |
102 |
|
|
MRT (min) |
84.6 |
± |
21.5 |
165 |
± |
85.1c |
|
|
Vdss (L/kg) |
5.50 |
± |
1.18 |
7.30 |
± |
3.45c |
|
|
CL (mL/min/kg) |
69.9 |
± |
8.16 |
56.9 |
± |
9.74c |
|
|
CLR (mL/min/kg) |
5.28 |
± |
1.28 |
1.99 |
± |
1.02a |
|
|
CLNR (mL/min/kg) |
64.4 |
± |
7.71 |
54.7 |
± |
9.36 |
|
|
Ae0–24 h, DA-8159
(% of dose of DA-8159) |
7.79 |
± |
1.44 |
4.90 |
± |
2.30c |
|
|
GI24 h, DA-8159
(% of dose of DA-8159) |
0.963 |
± |
0.317 |
1.97 |
± |
1.10c |
|
|
DA-8164 |
|
|
|
|
|
|
|
|
AUC (mg * min/mL) |
78.8 |
± |
23.2 |
164 |
± |
68.0b |
|
|
CLR (mL/min/kg) |
0.358 |
± |
0.295 |
0.0692 |
± |
0.0565a |
|
|
Terminal half-life (min) |
197 |
± |
61.0 |
219 |
± |
154 |
|
|
Cmax (mg/mL) |
0.390 |
± |
0.146 |
0.500 |
± |
0.154 |
|
|
Tmax (min) |
21.9 |
± |
18.3 |
9.60 |
± |
12.2 |
|
|
Ae0–24 h, DA-8164
(% of dose of DA-8159) |
0.173 |
± |
0.121 |
0.0412 |
± |
0.0312c |
|
|
GI24 h, DA-8164
(% of dose of DA-8159) |
0.136 |
± |
0.0583 |
0.562 |
± |
0.446c |
|
|
a Significantly
different (p < 0.001) from control. b Significantly
different (p < 0.01) from control. c Significantly different (p < 0.05) from control. |
|||||||
Table 3: Mean (± standard deviation) pharmacokinetic parameters of DA-8164 after intravenous administration of DA-8164 at a dose of 10 mg/kg to control rats and rat model of dehydration.
|
Parameter |
Control (n = 9) |
Dehydration (n = 9) |
||||
|
Body weight (g) |
|
|
|
|
|
|
|
Initial |
288 |
± |
14.7 |
294 |
± |
10.1 |
|
Final |
299 |
± |
14.5 |
243 |
± |
5.65a |
|
Urine output (mL/24-h) |
19.7 |
± |
5.94 |
2.14 |
± |
1.18a |
|
AUC (mg * min/mL) |
1710 |
± |
279 |
2170 |
± |
265b |
|
Terminal half-life (min) |
132 |
± |
21.7 |
128 |
± |
26.2 |
|
MRT (min) |
101 |
± |
17.2 |
114 |
± |
32.6 |
|
CL (mL/min/kg) |
5.83 |
± |
0.985 |
4.60 |
± |
0.602b |
|
CLR (mL/min/kg) |
0.0479 |
± |
0.0155 |
0.00672 |
± |
0.0200d |
|
CLNR (mL/min/kg) |
5.78 |
± |
0.985 |
4.57 |
± |
0.595b |
|
Vdss (L/kg) |
0.585 |
± |
0.0759 |
0.495 |
± |
0.116 |
|
Ae0–24 h, DA-8164 (% of dose of DA-8164) |
0.903 |
± |
0.284 |
0.461 |
± |
0.223b |
|
GI24 h, DA-8164 (% of dose of DA-8164) |
1.15 |
± |
0.834 |
1.63 |
± |
2.19 |
|
a Significantly
different (p < 0.001) from control. b Significantly different (p < 0.01) from control. |
||||||
After intravenous administration of DA-8164
in rat model of dehydration, the changes in pharmacokinetic parameters
of DA-8164 are as follows; the AUC was significantly greater (26.9% increase),
CL (21.1% decrease), CLR (86.0% decrease), and CLNR
(20.9% decrease) were significantly slower, and Ae0–24 h, DA-8164
was significantly smaller (48.9% decrease) than controls.

Figure 2: Mean arterial plasma concentration–time profiles of DA-8164 after 1-min intravenous infusion of DA-8164 at a dose of 10 mg/kg to control rats (●; n = 9) and rat model of dehydration (○; n = 9). Bars represent standard deviation.
After oral administration of DA-8159 at a dose of 30 mg/kg in control
rats and rat model of dehydration, the mean arterial plasma concentration–time
profiles of DA-8159 and DA-8164 are shown in
Figures 3A and 3B, respectively,
and some relevant pharmacokinetic parameters are listed in
Table 4.
After oral administration of
DA-8159, DA-8159 was absorbed rapidly and almost completely from rat
gastrointestinal tract; DA-8159 was detected in plasma from the first blood
sampling time, 15 min, for both groups of rats, and rapidly reached Tmax at 23.2 and 33.0 min for
control rats and rat model of dehydration, respectively. Moreover, the GI24 h,
DA-8159 values were 1.60 and 1.53% of oral dose of DA-8159 for control
rats and rat model of dehydration, respectively. After oral administration of
DA-8159 in rat model of dehydration, the changes in pharmacokinetic parameters
of DA-8159 are as follows; the CLR was significantly slower (61.8%
decrease), Tmax was
significantly longer (42.2% increase), and Ae0–24 h, DA-8159 was
significantly smaller (55.7% decrease) than controls. After oral administration
of DA-8159 in rat model of dehydration, CLR of DA-8164 was
significantly slower (39.0% decrease) than controls.

Figure 3: Mean arterial plasma concentration–time profiles of DA-8159 (A) and DA-8164 (B) after oral administration of DA-8159 at a dose of 30 mg/kg to control rats (●; n = 11) and rat model of dehydration (○; n = 10). Bars represent standard deviations.
Table 4: Mean (± standard deviation) pharmacokinetic parameters of DA-8159 and DA-8164 after oral administration of DA-8159 at a dose of 30 mg/kg to control rats and rat model of dehydration.
Parameter
|
Control (n = 11) |
Dehydration (n = 10) |
||||
|
Body weight (g) |
|
|
|
|
|
|
|
Initial |
295 |
± |
20.3 |
295 |
± |
20.3 |
|
Final |
296 |
± |
10.7 |
252 |
± |
15.5a |
|
Hematocrit (%) |
46.6 |
± |
2.59 |
56.3 |
± |
3.65a |
|
Urine output (mL/24-h) |
15.6 |
± |
10.3 |
4.63 |
± |
1.19b |
|
DA-8159 |
|
|
|
|
|
|
|
AUC (mg * min/mL) |
111 |
± |
32.2 |
118 |
± |
21.8 |
|
Terminal half-life (min) |
218 |
± |
45.7 |
243 |
± |
112 |
|
CLR (mL/min/kg) |
9.55 |
± |
1.73 |
3.65 |
± |
1.39a |
|
Cmax (mg/mL) |
0.537 |
± |
0.246 |
0.792 |
± |
0.352 |
|
Tmax (min) |
23.2 |
± |
7.83 |
33.0 |
± |
9.49c |
|
Ae0–24 h, DA-8159 (% of dose of DA-8159) |
3.66 |
± |
1.26 |
1.62 |
± |
0.823a |
|
GI24 h, DA-8159 (% of dose of DA-8159) |
1.60 |
± |
1.59 |
1.53 |
± |
0.818 |
|
F (%) |
25.5 |
20.2 |
||||
|
DA-8164 |
|
|
|
|
|
|
|
AUC (mg * min/mL) |
192 |
± |
66.9 |
243 |
± |
66.4 |
|
CLR (mL/min/kg) |
0.134 |
± |
0.0594 |
0.0818 |
± |
0.0150b |
|
Terminal half-life (min) |
245 |
± |
107 |
294 |
± |
172 |
|
Cmax (mg/mL) |
0.362 |
± |
0.129 |
0.450 |
± |
0.174 |
|
Tmax (min) |
276 |
± |
75.9 |
200 |
± |
178 |
|
Ae0–24 h, DA-8164 (% of dose of DA-8159) |
0.0954 |
± |
0.0406 |
0.0726 |
± |
0.0201 |
|
GI24 h, DA-8164 (% of dose of DA-8159) |
0.159 |
± |
0.0984 |
0.199 |
± |
0.0743 |
|
a Significantly different (p
< 0.001) from control. b Significantly different (p
< 0.01) from control. c Significantly different (p < 0.05) from control. |
||||||
Induction of dehydration was evident in rat model of dehydration; body
weight gain and 24-h urine output were significantly smaller and hematocrit was
significantly greater than controls (Tables 2–4). After intravenous
administration in control rats, body weight gain increased with days; the mean
body weights were 303 ± 28.9, 316 ± 18.9, 319 ± 17.0, and 320 ± 14.6 g for before and the first, second,
and third days, respectively. However, in rat model of dehydration, dehydration
caused significant decrease in body weight gain; the corresponding values were 310
± 28.7, 287 ± 22.6, 274 ± 23.1, and 253
± 24.2 g. In
control rats, daily food intakes were almost constant; the mean values were 22.1
± 4.40, 26.1 ± 4.79, and
25.1 ± 1.08 g for the first, second, and third days,
respectively. However, in rat model of dehydration, food intakes decreased with
days; the corresponding values were 15.7 ± 5.07, 8.21 ± 2.61, and 5.36 ± 2.01 g. Similar results were also obtained
after oral administration (data not shown). The above data indicated that
significant decrease in body weight gain in rat model of dehydration was due to
less food consumption in addition to water deprivation. Similar results were
also reported from other rat studies (11,12).
DA-8164 was a main
metabolite in humans and pharmacological effect of DA-8164 in terms of PDE V
inhibitory activity was half of that of DA-8159 (an internal report). Hence, the
pharmacokinetics of DA-8164 was evaluated in this study. Shim et al. (18) reported
that the AUC values of DA-8159 were dose-proportional after intravenous administration
at doses of 5–30 mg/kg and oral administration at doses of 20–30 mg/kg in rats.
Hence, the 30 mg/kg of DA-8159 was arbitrarily chosen in this study.
After intravenous
administration of DA-8159, contribution of CLR to CL of DA-8159 was
not considerable; the Ae0–24 h, DA-8159 values were less than 7.79% of
intravenous dose of DA-8159 for both groups of rats (Table 2), indicating that
most of the intravenously administered DA-8159 are eliminated via the nonrenal
route (CLNR). The contribution of gastrointestinal (including
biliary) excretion of unchanged DA-8159 to CLNR of DA-8159 seemed
also not to be considerable; the GI24 h, DA-8159 values were less
than 1.97% of intravenous dose of DA-8159 for both groups of rats (Table 2). The
small value in GI24 h, DA-8159, less than 1.97%, could not
be due to chemical degradation of DA-8159 in gastrointestinal tract; DA-8159
was stable in various pH solutions (25). Moreover, the percentages of oral dose
of DA-8159 (30 mg/kg) excreted in 24-h bile as unchanged drug were < 0.1% in
4 rats (18). The above data indicated that the CLNR values of
DA-8159 listed in Table 2 could represent metabolic clearances of DA-8159 in
rats.
After intravenous administration
of DA-8159, the CLNR values of DA-8159 were comparable between two
groups of rats (Table 2), and this could be expected because DA-8159 was mainly
metabolized via CYP3A1/2 in rats (5) and CYP3A1/2 was not changed in rat model
of dehydration (12). This could be supported by comparable in vitro CLint values for the disappearance of DA-8159
for both groups of rats (Table 1). After intravenous administration of DA-8159
in rat model of dehydration, the significantly slower CL of DA-8159 was at
least partly due to significantly slower CLR of DA-8159 in rat model
of dehydration, although the contribution of CLR of DA-8159 were not
considerable as mentioned earlier (Table 2). The significantly longer MRT of
DA-8159 in rat model of dehydration could support the slower CL of DA-8159 in rat
model of dehydration (Table 2). The slower CLR of DA-8159 in rat
model of dehydration could be mainly resulted from significantly smaller Ae0-24
h, DA-8159 and
significantly greater AUC of DA-8159 in rat model of dehydration (Table 2). The
smaller Ae0-24
h, DA-8159 in rat model
of dehydration could be due to urine flow rate-dependent CLR of
DA-8159 in rats. Recently, Kim et al. (26) reported that CLR of
DA-8159 was dependent on urine flow rate in rats; the less urine output, the
less Ae0-24
h, DA-8159. The 24-h
urine output was significantly smaller in rat model of dehydration than
controls (93.1, 89.1, and 70.3% decrease; Tables 2–4). The smaller Ae0-24
h of DA-8159 in rat
model of dehydration may also be due to impaired kidney function in rat model
of dehydration. Impaired kidney function in rat model of dehydration was also reported
from other rat studies (7–11 and references therein).
After intravenous
administration of DA-8159 in rat model of dehydration, the Vdss of DA-8159 was significantly
larger than controls (Table 2). However, this could not be due to increase in
free (unbound to plasma proteins) fractions of DA-8159 in plasma in rat
model of dehydration. The plasma protein
binding values of DA-8159 were 67.2 ± 1.57 and 70.2 ± 3.82% for
control rats and rat model of
dehydration, respectively; they were
not significantly different.
After intravenous administration of DA-8159 in rat model of dehydration,
the AUC of DA-8164 was significantly greater than controls (Table 2). However, this
was not due to increase in expression of CYP3A1/2 in rat model of dehydration since
CYP3A1/2 was not changed in rat model of dehydration (12). This could be
supported by comparable in vitro CLint
values for the formation of DA-8164 for both groups of rats (Table 1). The
greater AUC of DA-8164 could be due to greater exposure of the parent drug (the
significantly greater AUC of DA-8159) in rat model of dehydration (Table 2). In
order to explain the significantly greater AUC of DA-8164 after intravenous
administration of DA-8159 in rat model of dehydration, DA-8164 was administered
intravenously in both groups of rats. After intravenous administration of
DA-8164 in rat model of dehydration, the AUC of DA-8164 was significantly
greater than controls (Table 3). Moreover, the CL of DA-8164 (Table 3) was
significantly slower than that of DA-8159 (Table 2). This factor could also
contribute to the significantly greater AUC of DA-8164 after intravenous
administration of DA-8159 in rat model of dehydration (Table 3).
After intravenous administration
of DA-8159 in rat model of dehydration, the AUC of DA-8159 was significantly
greater than controls (Table 2). However, after oral administration of DA-8159,
the AUC of DA-8159 was comparable between two groups of rats (Table 4). However,
this was not due to decrease in gastrointestinal absorption of DA-8159 in rat
model of dehydration. Based on the linear pharmacokinetics (18), the mean “true”
fractions of oral dose unabsorbed (Funabs)
in this study were estimated based on the reported equation (27). The estimated
Funabs values
were 1.35 and 1.13% for control rats and rat model of dehydration,
respectively. Hence, more than 98% of oral dose of DA-8159 were absorbed from
the gastrointestinal tract for both groups of rats. The comparable AUC values
of DA-8159 after oral administration of DA-8159 could be due to changes in
first-pass effect in rat model of dehydration; the intestinal first-pass effect
of DA-8159 at a dose of 30 mg/kg was approximately 59% of oral dose in rats (18).
After oral administration of DA-8159, formation of DA-8164 increased compared
with that after intravenous administration; the AUCDA-8164/AUCDA-8159
ratios after intravenous administration of DA-8159 were 18.1 and 28.1% for
control rats and rat model of dehydration, respectively, however, the
corresponding values after oral administration of DA-8159 were 173 and 206%. This
could be due to considerable intestinal first-pass effect of DA-8159 in rats
(18).
In the rat model of dehydration, hematocrit was significantly greater than controls after both intravenous and oral administration of DA-8159 (Tables 2 and 4). Similar results were also reported from other rat studies (7,11,28–30). The binding of DA-8159 to blood cells was considerable; the mean plasma-to-blood cells concentration ratios of DA-8159 in three rabbit blood at initial DA-8159 blood concentrations of 1–10 mg/ml were 0.662–0.812 (25). The bound fractions of adriamycin (31) and propranolol (32) to red blood cells were reported to act as barriers for elimination. Hence, the significantly greater hematocrit value in rat model of dehydration (Table 2 and 4) could influence at least partly to the slower CL of DA-8159 in rat model of dehydration (Table 2).
After intravenous administration of DA-8159 in rat model of dehydration, the CLNR of DA-8159 was comparable to controls (Table 2), since DA-8159 was metabolized mainly via CYP3A1/2 (5) and CYP3A1/2 was not changed in rat model of dehydration (12). However, the CL of DA-8159 was significantly slower than controls, and this could be at least partly due to significantly slower CLR of DA-8159 in rat model of dehydration (Table 2). The slower CLR could be due to significantly smaller Ae0–24 h, DA-8159 in rat model of dehydration (Table 2), and this could be due to urine flow rate-dependent CLR of DA-8159 in rats (26) and impaired kidney function in rat model of dehydration. After intravenous administration of DA-8159 in rat model of dehydration, the significantly greater AUC of DA-8164 was possibly due to significantly greater exposure of the parent drug (the significantly greater AUC of DA-8159), and significantly greater AUC of DA-8164 in rat model of dehydration (Table 3). After oral administration of DA-8159, the AUC values of both DA-8159 and DA-8164 were comparable between two groups of rats and this could be due to changes in intestinal first-pass effects in rat model of dehydration.
This study was supported in part by a grant from the Korea Ministry of Health and Welfare, 02-PJ2-PG4-PT01-0024.
HPLC, high-performance liquid chromatography; Vmax, maximum velocity; Km, Michaelis–Menten constant; CLint, intrinsic clearance; AUC, total area under the plasma concentration–time curve from time zero to time infinity; MRT, mean residence time; Vdss, apparent volume of distribution at steady state; CL, time-averaged total body clearance; CLR, time-averaged renal clearance; CLNR, time-averaged nonrenal clearance; Ae0–24 h, total amount excreted in 24-h urine; GI24 h, total amount recovered from the entire gastrointestinal tract (including its contents and feces) at 24 h; Cmax, maximum plasma concentration; Tmax, time to reach a Cmax; F, extent of absolute oral bioavailability.
[1] Shim, H.J., Kim, Y.C., Lee, J.H., Kwon, J.W., Kim, W.B., Kim, Y.G., Kim, S.H., and Lee, M.G.., Interspecies pharmacokinetic scaling of DA-8159, a new erectogenic, in mice, rats, rabbits, and dogs, and prediction of human pharmacokinetics. Biopharm Drug Dispos, 26:269–277, 2005.
[2] Doh, H., Shin, C.Y., Son, M., Ko, J.I., Yoo, M., Kim, S.H., and Kim, W.B., Mechanism of erectogenic effect of the selective phosphodiesterase type 5 inhibitor, DA-8159. Arch Pharm Res, 25:873–878, 2002.
[3] Ahn, B.O., Kang, K.K., Ahn, G.J., Kwon, J.W., Kim, W.B., Kang, K.S., and Lee, Y.S., Efficacy of DA-8159, a new PDE5 inhibitor, for inducing penile erection in rabbits with acute spinal cord injury. Int J Impot Res, 15:405–411, 2003.
[4] Kang, K.K., Ahn, G.J., Ahn, B.O., Yoo, M., and Kim, W.B., DA-8159, a new PDE5 inhibitor, induces penile erection in conscious and acute spinal cord injured rabbits. Eur Urol, 43:689–695, 2003.
[5] Kim, Y.C., Shim, H.J., Lee, J.H., Kim, S.H., Kwon, J.W., Kim, W.B., and Lee, M.G.., Effect of enzyme inducers and inhibitors on the pharmacokinetics of intravenous DA-8159, a new erectogenic, in rats. Biopharm Drug Dispos, 26:233-241, 2005.
[6] Bakar, S.K., and Niazi, S., Effect of water deprivation on aspirin disposition kinetics. J Pharm Sci, 72:1030-1034, 1983.
[7] Huang, J.Y., Kim, O.N., Lee, S.H., and Lee, M.G., Effects of water deprivation on the pharmacokinetics and pharmacodynamics of bumetanide in rats. Biopharm Drug Dispos, 14:463-474, 1993.
[8] Ha, H.A., Lee, S.H., Kim, S.H., Kim, O.N., and Lee, M.G., Effect of water deprivation for 48 hours on the pharmacokinetics and pharmacodynamics of azosemide in rats. Res Commun Mol Pathol Pharmacol, 93:109-128, 1996.
[9] Son,
I.J., Moon, Y.J., Lee, M.G., and
[10] Kim,
S.H., Kwon, J.W., Kim, W.B., Lee,
[11] Kim, Y.C., Kim, Y.G., Kim, E.J., Cho, M.K., Kim, S.G., and Lee MG., Pharmacokinetics of intravenous chlorzoxazone in rats with dehydration and rehydration: Effects of food intakes. Biopharm Drug Dispos, 24:53–61, 2003.
[12] Kim, S.G., Kim, E.J., Kim Y.G., and Lee, M.G., Expression of cytochrome P-450s and glutathione S-transferases in the rat liver during water deprivation: Effects of glucose supplementation. J Appl Toxicol, 21:123-129, 2001.
[13] Bae, S.K., Lee, S.J., Kim, J.W., Kim, Y.H., Kim, S.G., and Lee, M.G., Pharmacokinetics of oltipraz after intravenous and oral administration in rats with dehydration for 72 hours. Biopharm Drug Dispos, 26:77-83, 2005.
[14] Bradford, M.M., A rapid and sensitive method for the quantitation of microgram quantities of protein utilizing the principle of protein–dye binding. Anal Biochem, 72:248–254, 1976.
[15] Shim, H.J., Lee, E.J., Jung, Y.H., Kim, S.H., Kim, S.H., Yoo, M., Kwon, J.W., Kim, W.B., and Lee, M.G., Determination of a new phosphodiesterase V inhibitor, DA-8159, in plasma and urine by high-performance liquid chromatography. J Pharm Biomed Anal, 30:527–533, 2002.
[16] Lineweaver, H., and Burk, D., The determination of enzyme dissociation constants. J Am Chem Soc, 56:658–666, 1934.
[17] Kim, S.H., Choi, Y.M., and Lee, M.G., Pharmacokinetics and pharmacodynamics of furosemide in protein–calorie malnutrition. J Pharmacokinet Biopharm, 21:1-17, 1993.
[18] Shim, H.J., Kim, Y.C., Park, K.J., Kim, D.S., Kwon, J.W., Kim, W.B., and Lee, M.G., Pharmacokinetics of DA-8159, a new erectogenic, after intravenous and oral administration to rats: Hepatic and intestinal first-pass effects. J Pharm Sci, 92:2185–2195, 2003.
[19] Shim, H.J., Lee, E.J., Kim, S.H., Kim, S.H., Yoo, M., Kwon, J.W., Kim, W.B., and Lee, M.G., Factors influencing the protein binding of a new phosphodiesterase V inhibitor, DA-8159, using an equilibrium dialysis technique. Biopharm Drug Dispos, 21:285–291, 2000.
[20] Chiou, W.L., Critical evaluation of potential error in pharmacokinetic studies using the linear trapezoidal rule method for the calculation of the area under the plasma level–time curve. J Pharmacokinet Biopharm, 6:539-546, 1978.
[21] Gibaldi,
M., and Perrier, D., Pharmacokinetics. 2nd ed.
[22] Chiou, W.L., New calculation method for mean apparent drug volume of distribution and application to rational dosage regimens. J Pharm Sci, 68:1067-1069, 1979.
[23] Eatman,
F.B., Colburn, W.A., Boxenbaum, H.G., Posmanter, H.N., Weinfeld, R.E., Ronfeld,
R., Weissman, L.,
[24] Chiou, W.L., New calculation method of mean total body clearance of drugs and its application to dosage regimens. J Pharm Sci, 69:90-91, 1980.
[25] Shim, H.J., Lee, E.J., Kim, S.H., Kim, S.H., Yoo, M., Kwon, J.W., Kim, W.B., Lee, H.S., and Lee, M.G., Pharmacokinetics, stability, and blood partition of DA-8159, a new phosphodiesterase V inhibitor. Res Commun Mol Pathol Pharmacol, 108:275–286, 2000.
[26] Kim, Y.C., Kwon, J.W., Kim, W.B., Lee, I., and Lee, M.G., Pharmacokinetic changes of intravenous DA-8159, a new erectogenic, in rat with diabetes mellitus induced by streptozotocin. J Pharm Sci, 93:2374–2387, 2004.
[27] Lee, M.G., and Chiou, W.L., Evaluation of potential causes for the incomplete bioavailability of furosemide: Gastric first-pass metabolism. J Pharmacokinet Biopharm, 11:623–640, 1983.
[28] Kutscher, C.L., Hematocrit, plasma osmolality, and plasma protein concentration as estimators of plasma volume in hooded rats during food and water deprivation. Physiol Behav, 7:283–285, 1971.
[29] LeCompte,
J.,
[30] Hope,
A., and Tyssebotn,
[31] Lee, H.J., and Chiou, W.L., Erythrocytes as barriers for drug elimination in the isolated rat liver. I. Doxorubicin. Pharm Res, 6:833-839, 1989.
[32] Lee, H.J., and Chiou, W.L., Erythrocytes as barriers for drug elimination in the isolated rat liver. II. Propranolol. Pharm Res, 6:840-843, 1989.
Published by the Canadian Society for Pharmaceutical Sciences.
Copyright © 1998 by the Canadian Society for Pharmaceutical Sciences.